728x90
2023.10.01 - [구글 스프레드시트 계산식 만들기] - 구글 스프레드시트: 디그리(Degree) -> 라디안(Radian) 변환하는 식 만들어보기
2023.10.01 - [구글 스프레드시트 계산식 만들기] - 구글 스프레드시트: 라디안(Radian) -> 디그리(Degree) 변환하는 식 만들어보기

부채꼴의 호의 길이를 구하는 방법과 예시
1. 부채꼴의 호의 길이를 구하는 방법
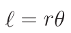
공식: 공식은 아래와 같습니다.


예시: 반지름 r=5, 중심각 θ=3rad 일때 호의 길이를 구한다면,
l = 5 × 3rad = 15
l = 2π5 × 171.88º / 360 = 15

1-1. 구글 스프레드 시트로 계산식 만들어 보기
반지름 r=5, 중심각 θ=3rad 부채꼴의 호의 길이 구하는 계산식 만들기
공식: l= r × θ
B2 셀에 반지름 r= 5, C2 셀에 중심각 θ = 3 입력,수식은 =B2*C2 를 입력하면
반지름과 중심각으로 부채꼴의 호의 길이를 구하는 계산식이 완성됩니다.
다음부터 B2, C2 셀에 반지름과 중심각만 바꿔주면 자동으로 부채꼴의 호의 길이를 계산해 줍니다.
사용된 계산식으로 나온 결과는 부채꼴의 호의 길이: 15입니다.

위에서 설명한 것은 부채꼴의 호의 길이를 구하는 공식 및 예시에 대한 내용입니다.
다음엔 더유익한 정보로 찾아뵙겠습니다
728x90
'구글 스프레드시트 계산식 만들기' 카테고리의 다른 글
| 구글 스프레드시트: 부채꼴의 넓이를 구하는 식 만들어보기 (0) | 2023.10.01 |
|---|---|
| 구글 스프레드시트: 디그리(Degree) -> 라디안(Radian) 변환하는 식 만들어보기 (0) | 2023.10.01 |
| 구글 스프레드시트: 라디안(Radian) -> 디그리(Degree) 변환하는 식 만들어보기 (0) | 2023.10.01 |
| 구글 스프레드시트: 부채꼴의 중심각을 구하는 식 만들어보기 (0) | 2023.10.01 |
| 구글 스프레드시트: 사다리꼴의 넓이를 구하는 식 만들어보기 (0) | 2023.09.13 |