728x90
안녕하세요. 오늘은 구글 스프레드시트의 STDEV 함수에 대해 알아보겠습니다.
구글 스프레드시트에서는 STDEV 함수를 사용하여 데이터 집합의 표준 편차를 계산할 수 있습니다.
STDEV 함수의 구문은 STDEV(값 1, [값 2,...])입니다
여기서 값 1은 표본의 첫 번째 값 또는 범위이고, 값 2,... 는 표본에 포함될 추가 값 또는 범위입니다.
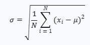
표준편차계산
표준 편차는 데이터 집합의 산포도를 나타내는 통계적인 측정치입니다.

여기서 N은 데이터 집합의 크기, xi는 데이터 집합의 i번째 값, μ는 데이터 집합의 평균입니다.
예를 들어, 데이터 집합이 {1, 2, 3, 4, 5}라면, 평균 μ는 51+2+3+4+5=3이고, 표준 편차 σ는

예제
다음은 STDEV 함수의 사용 예제입니다.
=STDEV(1,2,3,4,5)
위 수식은 1, 2, 3, 4, 5라는 표본 데이터를 기준으로 표준편차를 계산합니다.

이상으로 구글 스프레드시트의 STDEV 함수에 대해 자세히 알아보았습니다. 다음에도 유익한 정보로 찾아뵙겠습니다.
728x90
'구글 스프레드시트 함수' 카테고리의 다른 글
| 구글 스프레드시트 : 함수 COUNTIF (0) | 2023.07.16 |
|---|---|
| 구글 스프레드시트 : 함수 COUNT (0) | 2023.07.16 |
| 구글 스프레드시트 : 함수 VAR (0) | 2023.07.15 |
| 구글 스프레드시트 : 함수 BETA.INV (0) | 2023.07.14 |
| 구글 스프레드시트 : 함수 BETA.DIST (0) | 2023.07.14 |